Tụ bù trung thế là thiết bị quan trọng trong hệ thống của các doanh nghiệp sử dụng mạng lưới điện trung thế hoặc có nhu cầu sử dụng điện cao. Tụ bù trung thế có cấu tạo, nguyên lý làm việc thế nào, công dụng và những lưu ý khi đấu nối, tất cả sẽ được Etinco thông tin trong bài viết sau.
Tụ bù trung thế là gì?

Tụ bù trung thế là các loại tụ bù được đấu nối vào hệ thống điện trung thế, có nhiệm vụ tích và phóng điện trong mạch để ổn định điện áp đường dây và bù công suất phản kháng. Tụ bù trung thế thường có một số loại điện áp từ 3kV đến 35kV và được chia thành loại 1 pha 2 sứ, 3 pha 3 sứ.
Cấu tạo và thông số của tụ bù trung thế
Tụ bù trung thế có phần cách điện tốt, gồm 2 vật dẫn là 2 bản cực bằng nhôm mỏng lót lớp giấy cách điện, được uốn lại và đặt trong dầu cách điện bên trong một vỏ thùng hàn kín bằng hợp kim nhôm và phủ nhựa. Các đầu dây trên bản cực được đưa ra ngoài bằng sứ cách điện để kết nối với nguồn điện.
Tụ trung thế có các thông số cơ bản gồm:
- Fdm: Tần số định mức (Hz)
- Qdm: Công suất phản kháng định mức (kVAR)
- Udm: Điện áp định mức của tụ điện (kV)
- Cdm: Điện dụng tụ điện (μF)
Nguyên lý vận hành tụ bù trung thế
Thông thường, công suất truyền từ nguồn đến tải gồm 2 loại là công suất tác dụng và công suất phản kháng. Công suất tác dụng là loại công suất hữu ích cho thiết bị (có đơn vị là W/ KW). Công suất phản kháng là công suất vô ích, đơn vị là VAr, kVA. Để giảm công suất phản kháng cần bù công suất hệ số cosφ. Tụ bù có khả năng bù công suất phản kháng, tránh bị phạt tiền từ ngành Điện lực.

Nguyên lý hoạt động của tụ bù trung thế như sau: Khi tụ bù có cảm kháng, tức dòng điện đang chậm pha so với điện áp, tụ trung thế được nạp điện và tạo ra dòng điện dẫn pha điện áp. Dòng điện từ tụ cân bằng với dòng điện tải cảm kháng để giảm công suất phản kháng, nâng cao cosφ. Tụ bù trung thế liên tục nạp và xả điện để duy trì ngưỡng cosφ cao.
Ứng dụng của tụ bù trung thế
Tụ bù trung thế mang công dụng:
- Tiết kiệm hóa đơn tiền điện: Tụ bù trung thế nâng cao hệ số công suất cosφ trên mức chịu phạt, đảm bảo hiệu quả hoạt động của lưới điện, đồng thời tiết kiệm tiền điện.
- Giảm chi phí đầu tư, bảo trì, bảo dưỡng thiết bị điện.
- Giúp giảm thiểu tổn thất điện năng và giảm sụt áp trong mạng điện.
Tụ bù trung thế thường được sử dụng trong các hệ thống điện có quy mô lớn như nhà máy, xí nghiệp,... Ngoài ra, thiết bị này còn được sử dụng trong hệ thống điện gió, điện mặt trời, lưới điện truyền tải trong khu vực để giảm hao phí truyền tải.
Xem thêm: Tụ bù hạ thế: Thông số kỹ thuật và vai trò trong hệ thống
Một số phương pháp bù trên mạch trung thế
Có 3 phương pháp bù trên mạch trung thế thường được sử dụng:
- Bù cố định: Tuy sơ đồ đấu tụ bù dạng này đơn giản, chi phí đầu tư thấp nhưng không tương thích với đồ thị phụ tải. Trường hợp tải thấp điểm sẽ sản sinh ngược công suất phản kháng gây thêm tổn thất điện năng. Như vậy, bù cố định chỉ phù hợp cho bù phụ tải nền.
- Bù tính theo cosφ: Tính toán chính xác lượng cosφ cần bù để thiết kế tính dung lượng tụ bù tương ứng đặt tại trạm biến áp. Có điều dạng này có thể gây ra lượng nhỏ tổn thất điện năng lên lưới điện hạ thế. Bù tính theo cosφ phù hợp với các trạm biến áp chuyên dùng hoặc có bán kính đường dây hạ áp nhỏ.
- Bù dựa trên thời gian: Cài đặt thời gian và dung lượng bù tùy theo thời gian cao điểm – thấp điểm của phụ tải, yêu cầu thời gian cần tương thích khi phụ tải biến động theo mùa, do thời tiết hay do đặc điểm sản xuất.
Lưu ý lắp đặt tụ bù trung thế
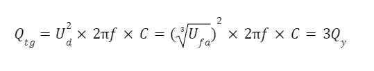
Các tụ trung thế thường có dạng tụ 1 pha, điện áp định mức tương đương điện áp dây dẫn Ud. Khi đấu tụ vào lưới trung thế, cần đấu theo sơ đồ hình tam giác. Với sơ đồ này, dung lượng bù tạo ra lớn hơn 3 lần so với kiểu đấu hình sao, khi cùng trị số điện dung C.

Tuy nhiên, một số trường hợp trong thực tế vẫn áp dụng cách đấu hình sao cho tụ trung thế, khi đó điện áp tụ bù phải chịu nhỏ hơn căn 3 lần so với khi đấu tam giác. Điện áp chịu được của tụ là cố định. Trung bình khi tăng 10% mức chịu điện áp thì chi phí đầu tư tụ sẽ tăng khoảng 20%, không tối ưu.
Ví dụ: Khi muốn bù 150kVAr cho lưới điện 22kV có 2 cách:
- Cách 1: Sử dụng 3 tụ có công suất 150kVAr - 12,7kV mắc theo sơ đồ hình sao. Lúc này, điện áp đặt trên các cực bình tụ là điện áp pha và bằng 12,7kV - chính bằng điện áp định mức của bình tụ. Mỗi bình tụ sẽ phát ra công suất đúng bằng công suất định mức 50kVAr, như vậy 3 tụ là 150kVAr.
- Cách 2: Nếu mắc theo sơ đồ hình tam giác thì phải chọn 3 tụ có công suất là 50kVAr - 22kV, khi đó điện áp đặt vào các cực bình tụ mới bằng điện áp định mức của tụ và thiết bị này mới phát ra đúng công suất định mức, 3 bình, mỗi tụ 50kVAr là 150kVAr.
Đặt ngược lại vấn đề. Nếu dùng 3 tụ 50kVAr - 22kV mắc theo sơ đồ hình Y, lúc này điện áp đặt trên các cực bình tụ chỉ là điện áp pha: 12,7kV = (1/√3)x22 (điện áp định mức của tụ). Như vậy công suất phát ra của tụ chỉ bằng 1/3 công suất định mức, tức là mỗi tụ chỉ phát được 17,67KVAr, gây lãng phí.
Nếu dùng 3 tụ công suất 50kVAr - 12,7kV mắc theo sơ đồ hình tam giác thì các đầu cực của tụ bị đặt một điện áp gấp căn 3 lần điện áp định mức của tụ, rất dễ gây ra tình trạng cháy nổ.
Theo đó, các bình tụ chỉ chịu được quá áp là:
- 1,1Un (điện áp định mức) trong thời gian 12h mỗi ngày
- 1,15Un trong thời gian 30 phút mỗi ngày
- 1,2Un trong thời gian 5 phút
- 1,3Un trong thời gian 1 phút
Như vậy trước khi chọn, đấu tụ, yếu tố quan trọng nhất là phải tính toán được công suất tụ bù phù hợp với điện áp định mức.
Trên đây, Etinco đã cung cấp các thông tin quan trọng liên quan đến tụ bù trung thế, gồm: định nghĩa, cấu tạo, ứng dụng và cách chọn, đấu và vận hành. Để tìm hiểu thêm các thông tin liên quan đến tụ bù, bạn có thể truy cập: https://etinco.vn/tin-tuc/kien-thuc/