Dây điện to có tốn điện không là câu hỏi thường gặp trong quá trình lựa chọn và sử dụng dây cáp điện bởi theo quan niệm của nhiều người Việt, dây điện nhỏ “có vẻ” tiết kiệm điện hơn. Chúng tôi sẽ giúp bạn giải đáp thắc mắc này từ góc độ kỹ thuật điện.
Nguyên nhân chính gây tổn hao điện năng
Điện trở của dây dẫn là nguyên nhân chính gây ra tình trạng tổn thất điện năng. Khi dòng điện chạy liên tục trong dây dẫn điện, hiệu ứng Joule sinh ra trong lòng dây dẫn sẽ khiến một phần năng lượng bị chuyển hóa thành nhiệt, gây sụt áp đường dây và giảm hiệu suất truyền tải điện. Lượng điện năng bị tổn hao này tỷ lệ thuận với điện trở và bình phương cường độ dòng điện.

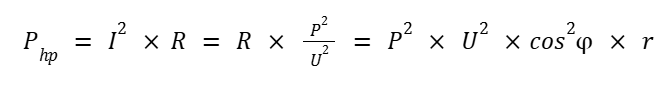
Công thức tính điện năng hao hụt như sau:

Trong đó:
- Php: Công suất hao phí điện năng (W)
- I: Cường độ dòng điện (A)
- U: Hiệu điện thế (V)
- R: Điện trở của dây dẫn (Ω)
- cosφ: Hệ số công suất, thường là 0.8
Mức độ tốn điện của dây điện to

Tại sao có câu hỏi dây điện có to tốn điện không?
Thực tế, quan niệm dây điện to tốn điện xuất phát sự nhầm lẫn về mức độ tiêu thụ điện của dây điện to với thiết bị công suất lớn. Theo đó trong hệ thống điện dân dụng, dây điện to thường được đấu nối cho bình nóng lạnh, điều hòa, tủ lạnh, bếp từ… Chính những thiết bị này mới là nguyên nhân gây tốn điện chứ không phải dây điện.
Ngoài ra, dây điện to gây cảm giác nặng nề, dày đặc nên nhiều người cho rằng loại dây này tốn điện hơn dây nhỏ.
Mối liên hệ giữa tiết diện dây điện và mức tổn hao điện năng
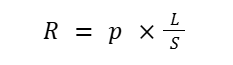
Điện trở tỉ lệ nghịch với tiết diện dây điện và chiều dài của dây dẫn theo công thức:

Trong đó:
- ρ: Điện trở suất của vật liệu (đồng hoặc nhôm) (Ω)
- L: Chiều dài dây dẫn (m)
- S: Tiết diện dây dẫn (mm2)
Như vậy, dây điện càng to thì điện trở càng nhỏ, tổn thất điện năng trên đường dây truyền tải đường dài càng giảm. Tương ứng, dây điện to sẽ ít tốn điện hơn dây điện nhỏ.
Khi nào nên sử dụng dây điện to?

Việc chọn tiết diện dây dẫn phụ thuộc vào giá trị cường độ dòng điện, công suất tiêu thụ của thiết bị cũng như chiều dài đường dây. Dưới đây là các trường hợp ưu tiên sử dụng dây điện to:
- Vận chuyển điện đường dài: >30m
- Đấu nối cho các thiết bị công suất lớn: Bếp điện, bình nóng lạnh, điều hòa, mô tơ
- Hệ thống điện 3 pha của nhà xưởng, xí nghiệp
Không nên chọn dây điện to cho các tải nhỏ, khoảng cách lắp đặt ngắn để tránh lãng phí chi phí đầu tư mà không đạt hiệu quả truyền tải cao hơn. Cũng không nên chọn dây điện quá nhỏ, dễ gây quá tải, nóng chảy dây, sụt áp khiến thiết bị hoạt động không đúng cách và tổn thất điện năng.
Lựa chọn tiết diện dây điện phù hợp với tải góp phần tối ưu hiệu suất truyền tải điện, tiết kiệm điện năng và chi phí đầu tư.
Đọc thêm: Bảng tra trọng lượng cáp điện chi tiết
Cách giảm điện năng hao phí trên đường truyền tải dài

Dựa vào công thức tính công suất hao hụt phía trên, có 3 cách để giảm tình trạng tổn hao điện năng trên đường truyền, qua đó tiết kiệm điện năng gián tiếp như sau.
Giảm giá trị điện trở
- Giảm điện trở suất trên dây dẫn: Dùng các kim loại có điện trở thấp nhưng khả năng dẫn điện cao làm vật liệu cấu thành lõi dẫn điện như bạc, vàng… Tuy nhiên, biện pháp này quá tốn kém nên tính khả thi thấp.
- Tăng tiết diện dây dẫn: Tiết diện dây càng lớn thì tổn thất điện năng truyền tải đường dài càng thấp. Có điều, dây càng to thì khối lượng dây càng tăng, gây áp lực lên hệ thống cột và giá đỡ.
Tăng giá trị hiệu điện thế
Khi hiệu điện thế được tăng lên n lần thì công suất hao phí điện năng sẽ giảm bình phương n lần. Phương pháp này so với giảm điện trở của dây dẫn được đánh giá là hiệu quả và khả thi hơn nhưng cần dùng đến máy tăng điện áp ở đầu nguồn cấp.
Tăng hệ số công suất
Để tăng hệ số cosφ một cách nhân tạo, có thể sử dụng tụ bù điện hoặc bộ lọc sóng hài AHF. Hệ số công suất càng cao, tổn hao điện áp càng ít. Hạn chế của biện pháp này là khá tốn kém về chi phí lắp đặt.
Đọc thêm: Dây điện 2.5 chịu tải bao nhiêu W?
Câu hỏi thường gặp về dây điện to có tốn điện không?
Câu hỏi 1: Dây điện to có lợi ích gì?
Trả lời: Dây điện to giúp tăng khả năng truyền tải điện, giảm điện năng hao phí trên đường dây. Tuy nhiên, dây điện to cần phù hợp với tải, nếu không sẽ gây lãng phí và dư thừa.
Câu hỏi 2: Sai lầm khi chọn dây điện to là gì?
Trả lời: Nhiều người quan niệm dây điện to tốt hơn dây điện nhỏ nên có xu hướng chọn 1 tiết diện dây cho toàn bộ hệ thống điện trong nhà. Điều này không chỉ lãng phí chi phí đầu tư mà còn hạn chế sự linh hoạt giữa đường dây điện chính và phụ, gây khó khăn khi cần sửa chữa, bảo trì.
Ngoài ra, khi chọn dây điện to trôi nổi trên thị trường, bạn rất dễ gặp phải tình trạng vỏ dây to nhưng lõi nhỏ, gây nguy hiểm trong quá trình sử dụng điện và mất an toàn hệ thống.
Dây điện to có tốn điện không? Câu trả lời ở đây là dây điện to không tốn điện, ngược lại còn có khả năng tiết kiệm điện nhờ giảm tình trạng tổn hao điện áp. Tuy nhiên, để đảm bảo hiệu quả truyền tải cũng như an toàn điện, dây điện cần có tiết diện phù hợp với tải, không nên vì kết luận dây điện to giúp tiết kiệm điện mà lựa chọn loại dây này cho tất cả thiết bị điện.