Hệ thống điện nhà máy của bạn đang gặp phải các tình huống: tổn thất điện năng lớn khiến chi phí điện tăng cao; tụ dễ phồng, nổ; động cơ nóng, chạy rung dù chưa đến ngưỡng quá tải… Đây chính là những biểu hiện của việc sóng hài đang tác động tiêu cực đến chất lượng điện và hoạt động của các thiết bị. Vậy sóng hài là gì? Tác hại của sóng hài đến hệ thống ra sao và có những biện pháp phòng ngừa như thế nào? Mời bạn đón đọc bài viết sau đây để tìm hiểu chi tiết.
Sóng hài là gì?
Sóng hài (tên tiếng Anh là Harmonic) là một dạng sóng nhiễu có ảnh hưởng tiêu cực đến chất lượng lưới điện. Thông thường, dạng sóng sin điện áp được tạo ra tại các nhà máy điện, trạm biến áp rất “sạch” nhưng càng gần phụ tải, đặc biệt là các phụ tải phi tuyến, sóng hình sin càng bị méo dạng. Đây chính là thành phần sóng hài.

Sóng hài có tần số cao hơn tần số tiêu chuẩn 50Hz với đặc trưng là dao động hoàn toàn trên phổ tần số công nghiệp cơ bản. Tần số của dòng hài từ đó cũng được xác định là bội số nguyên của tần số cơ bản. Ví dụ, sóng hài bậc 3 là bội số 3 của tần số 50Hz, tức là 150Hz.

Nguyên nhân gây ra hiện tượng sóng hài
Nguồn chính gây ra hiện tượng sóng hài đến từ các phụ tải phi tuyến trong hệ thống điện. Nếu như trước đây, lưới điện chủ yếu là các tải tuyến tính tự nhiên có dạng sóng sin ở tần số cơ bản là 50/60Hz thì hiện nay, tải phi tuyến tạo ra dòng điện đầu ra có dạng sóng không giống điện áp cung cấp.
Chi tiết hơn, các bộ băm xung (bộ chỉnh lưu, nghịch lưu, mạch chuyển đổi PWM) có tác dụng chuyển đổi điện áp xoay chiều thành một chiều trong các thiết bị hiện đại đã làm thay đổi hoàn toàn cách lấy điện từ sóng hình sin AC so với phương pháp thông thường, tạo ra độ lệch của điện áp và dòng điện, dẫn đến sản sinh sóng hài. Hiểu đơn giản, sóng hài sinh ra do cảm kháng từ hóa phi tuyến từ máy biến áp, máy hàn, cuộn kháng, lò hồ quang, bộ chuyển đổi năng lượng tái tạo… theo nguyên lý cảm ứng điện từ.

Thông thường, chuỗi Fourier của sóng hài chỉ chứa hài bậc lẻ do thiết bị sinh sóng hài thường có dạng sóng đồng nhất nên trong thực tế, sóng hài bậc 3,5,7… sẽ được bắt gặp thường xuyên. Sóng hài bậc chẵn gần như không có.
Sóng hài dù chỉ diễn ra trong thời gian ngắn ở mỗi pha nhưng đủ làm biến dạng dòng điện đầu vào AC khỏi sóng sin chuẩn. Ngoài ra, sự chênh lệch giữa điện áp AC ở đầu vào và DC ở đầu ra khiến dòng điện phải có biên độ đỉnh cao hơn để truyền đủ năng lượng cho động cơ trong một chu kì khởi động. Điều này khiến dòng điện bị biến đổi thành các xung biên độ cao, kéo theo độ méo hài THD của dòng điện cũng tăng cao.
Ảnh hưởng của sóng hài đối với hệ thống điện
Sóng hài là một trong những nguyên nhân gây ra tình trạng quá tải, quá nhiệt, hư hại các thiết bị điện có trong hệ thống.
Tác hại của sóng hài có thể kể đến:
- Tổn hao năng lượng: Méo hài làm tăng dòng điện và điện áp trong hệ thống, dẫn đến tổn thất điện năng trên đường dây dẫn, máy biến áp và các thiết bị điện tử khác.
- Giảm tuổi thọ thiết bị: Sóng hài có thể gây quá nhiệt, quá tải CB, tiềm ẩn nguy cơ cháy nổ máy biến áp. Sóng hài cũng làm tăng rung động và tiếng ồn trong động cơ điện, khiến động cơ dễ hao mòn cơ học và giảm tuổi thọ.
- Gây nhiễu điện tử: Sóng hài có khả năng làm nhiễu điện tử mạnh hơn dạng sóng sin thường, thậm chí phát ra âm thanh con người nghe thấy được khiến đường truyền vô tuyến bị nhiễu, màn hình hiển thị chập chờn, nhấp nháy. Trong hệ thống viễn thông, truyền hình, sóng hài còn lan truyền gián tiếp sang hệ thống khác thông qua thanh cái.
- Méo dạng điện áp quá mức: Có thể khiến các thiết bị hoạt động không đúng cách như aptomat tác động sai, lỗi máy phát điện, đèn nhấp nháy, sụt áp đường dây…
- Nguy cơ cháy nổ: Sóng hài làm giảm khả năng cách điện của các thiết bị, gây nguy cơ cháy nổ tụ bù, máy biến áp do quá nhiệt bất thường.
Tiêu chuẩn về mức đo sóng hài
Tại mỗi quốc gia, tiêu chuẩn mức đo sóng hài lại có giá trị khác nhau.
Theo IEC
Ủy ban Kỹ thuật điện quốc tế ban hành một số tiêu chuẩn liên quan đến mức đo sóng hài như sau:
- IEC 61000-3-2: Giới hạn dòng điện hài riêng lẻ cho các bậc hài lên đến bậc 40, phân chia thành 4 lớp (A,B,C,D) dựa trên loại thiết bị có dòng điện đầu vào ≤16A mỗi pha (thiết bị gia dụng và văn phòng).
- IEC 61000-3-12: Giới hạn dòng điện hài và Tổng độ méo hài dòng điện (TDD) tại điểm đấu nối chung đối với thiết bị có dòng điện đầu vào >16A và ≤75A mỗi pha.
- IEC 61000-2-2: Giới hạn Tổng độ méo hài điện áp (THD) tối đa cho phép trong lưới điện công công hạ áp không vượt quá 8%.
Theo IEEE
Tiêu chuẩn IEEE 519 của Viện Kỹ thuật Điện - Điện tử (Hoa Kỳ) đưa ra các ngưỡng sóng hài khác nhau theo các hệ thống điện:
| Phân ngành | Độ méo hài THD (%) |
| Hàng không, Bệnh viện, Viễn thông | 3% |
| Tòa nhà văn phòng, Trường học | 5% |
| Nhà máy công nghiệp | 10% |
Theo tiêu chuẩn Việt Nam
Điều 7 Thông tư 39/2015/TT-BCT ngày 18/11/2015 của Bộ Công Thương quy định, Tổng độ méo hài điện áp tại mọi điểm đấu nối trung và hạ áp không được vượt quá:
- Tổng biến dạng sóng hài: ≤6,5%
- Biến dạng riêng lẻ: ≤3%
Đối với thiết bị đấu nối, quy định sóng hài có tại điều 32 của Thông tư 39:
- Cấp điện áp trung áp và hạ áp công suất <50kW: Giá trị dòng hài bậc cao không vượt quá 20% dòng điện phụ tải.
- Tổng độ méo hài dòng điện kéo dài ít nhất 24h với chu kỳ 10 phút/ lần.
Ngoài ra, Thông tư 30/2019/TT-BCT của Bộ Công Thương cũng quy định về công thức tính và giới hạn cho sóng hài điện áp và dòng điện.

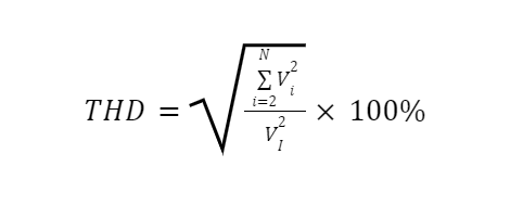
Về Tổng độ méo sóng hài điện áp (THD)
Tổng độ méo hài điện áp được tính theo tỷ lệ giữa giá trị hiệu dụng của sóng hài điện áp và giá trị hiệu dụng của điện áp bậc cơ bản.
Công thức như sau:

Trong đó:
- THD: Tổng méo dạng sóng hài điện áp
- Vi: Giá trị hiệu dụng sóng hài điện áp bậc i với N là bậc cao nhất của sóng hài cần đánh giá
- VI: Giá trị hiệu dụng của điện áp cơ bản có tần số 50Hz.
Theo quy định, giá trị cực đại tới hạn của THD do sóng hài bậc cao gây ra với các cấp điện áp 220kV và 500kV không vượt quá 3%.
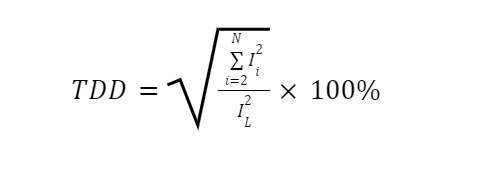
Về Tổng độ méo sóng hài dòng điện (TDD)
Tổng độ méo hài dòng điện được xác định là tỷ lệ giá trị hiệu dụng của sóng hài dòng điện và giá trị hiệu dụng của dòng điện bậc cơ bản trong chế độ phụ tải và công suất phát cực đại.
Công thức tính TDD:

Trong đó:
- TDD: Tổng méo dạng sóng hài dòng điện
- Ii: Giá trị hiệu dụng sóng hài dòng điện bậc i với N là bậc cao nhất của sóng hài cần đánh giá
- IL: Giá trị hiệu dụng của dòng điện cơ bản với tần số 50Hz
Quy định: Giá trị cực đại tới hạn của TDD do sóng hài bậc cao gây ra trong các cấp điện áp 220kV và 500kV không vượt quá 3%.
Phương pháp xử lý sóng hài trong lưới điện
Để xử lý triệt để sóng hài trong lưới điện, cần có những giải pháp đồng bộ và nhất quán. Các giải pháp này được quy định trong Thông tư số 30/2019/TT-BCT với các điểm chính gồm:
Trong thiết kế hệ thống điện
Ngay từ công đoạn thiết kế hệ thống điện cho nhà máy, cần phải xác định rõ các loại tải tuyến tính, phi tuyến tính và công suất của mỗi loại. Đây là căn cứ để tính toán số lượng, công suất máy biến áp, biến tần và các thiết bị liên quan.
Trong các hệ thống hiện hữu
Thực tế ở Việt Nam, việc đánh giá tác động của phụ tải phi tuyến tính trong thiết kế là rất hạn chế, đặc biệt là ở các nhà máy sử dụng biến tần 6 xung, nhà máy sắt, gang, thép… Thông qua việc khảo sát cường độ, bậc hài cụ thể, dưới đây là 1 số giải pháp xử lý tương ứng:
- Mức 1 - Classic (THDi < 5%): Không cần xử lý.
- Mức 2 - Comfort (THDi 5 ~ 10%): Sóng hài mức này có thể ảnh hưởng đến hiệu suất của tụ bù công suất phản kháng. Nên ưu tiên sử dụng tụ điện có cấu trúc màng Polypropylene được kim loại hóa bằng hợp kim Zn / Al với cấu hình đặc biệt dạng Wave-cut.
- Mức 3 - Harmony (THDi 10 ~ 20%): Sóng hài mức 3 có ảnh hưởng lớn đến hệ thống tụ bù công suất và các nhà máy điện - điện tử công nghệ cao. Có 2 phương pháp xử lý phổ biến là lắp thêm kháng điện cho biến tần 6 xung/ thay thế bằng các biến tần 12 xung trở lên, hoặc trang bị cuộn kháng lọc sóng hài cho hệ thống tụ bù.

- Mức 4 - Filters (THDi >20%): Mức hài này có thể khiến các thiết bị trong hệ thống vận hành sai cách như CB tác động sai, động cơ rung lắc, PLC chập chờn, tụ phồng, nổ… Phương án xử lý phù hợp nhất là sử dụng bộ lọc hài chủ động AHF.

Tổng kết lại, sóng hài trong lưới điện có thể kiểm soát được thông qua một số phương pháp sau:
- Lắp đặt cuộn kháng cho biến tần: Giải pháp tốt nhất cho các ứng dụng cần lọc nguồn lưới bị nhiễu nặng nhưng giảm sóng hài không phải ưu tiên hàng đầu.
- Chỉnh lưu 12 xung: Cho hiệu suất cao nhất trong việc lọc sóng hài nhưng đòi hỏi quy trình thực hiện phức tạp.
- Sử dụng biến tần có sóng hài thấp: Ví dụ biến tần đa xung sử dụng công nghệ giảm sóng hài mà không cần bộ lọc ngoài với THDi <5%.
- Sử dụng bộ lọc hài: Áp dụng cho nhiều biến tần lắp song song trên cùng một đường truyền phân phối với chức năng chính là bù công suất phản kháng, triệt tiêu sóng hài bậc cao. Có 2 bộ lọc được sử dụng phổ biến nhất là bộ lọc sóng hài thứ tự 0 (ZSF) cho hiệu suất lọc khoảng 60 - 95% và bộ lọc hài tích cực AHF có hiệu suất lọc đến 97%.
Một số câu hỏi về sóng hài là gì?
Câu hỏi 1: Sóng hài bậc nào nguy hiểm nhất?
Trả lời: Mức độ nguy hiểm của sóng hài phụ thuộc vào cấu hình hệ thống và loại thiết bị ảnh hưởng. Ví dụ, sóng hài bậc 3 có ảnh hưởng nghiêm trọng đến hệ thống 3 pha 4 dây có dây trung tính; sóng hài bậc 5 đặc biệt nguy hiểm đối với động cơ và máy phát điện…
Câu hỏi 2: Sóng hài điện áp hay sóng hài dòng điện nguy hiểm hơn?
Trả lời: Cả sóng hài điện áp và sóng hài dòng điện đều có tác động tiêu cực đến chất lượng điện nhưng sóng hài dòng điện được coi là nguyên nhân khởi phát và có khả năng phá hủy trực tiếp thiết bị thông qua quá nhiệt và cộng hưởng. Trong khi đó, sóng hài điện áp làm suy giảm chất lượng điện năng nói chung cũng như khả năng vận hành bình thường của các thiết bị điện.